../../images/202510211458248950AY.png

您的当前位置: 首页 >> 人才招聘 >> 正文

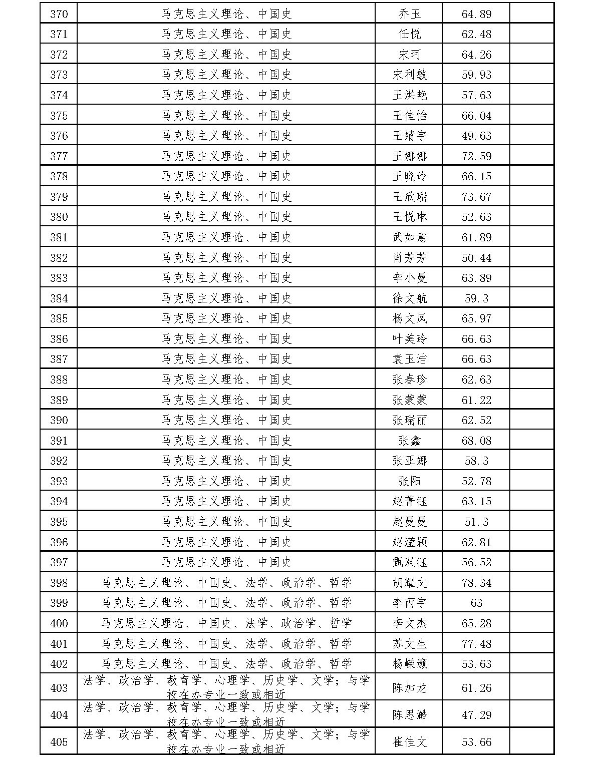
2023年度员额制公开招聘笔试成绩公示

作者:  点击数:  更新时间:2023年09月25日   责任编辑:人事处  审核人:

现将我校2023年度员额制公开招聘笔试成绩予以公布。参加面试人员、面试时间及具体要求另行通知,请及时关注我校人事处网站。


                                                             20239月25


undefined


人事信息